Roger Antonsen
Hjem
Om
Bøker
Foredrag
Undervisning
Forskning
Kunst
Presse
Blogg
Søk
CMD-K
Mørkt modus
Lyst modus
CTRL-D
Font
CTRL-X
Ff
Språk
CTRL-E/N
Norsk
Engelsk
Tilfeldig side
CTRL-Z
Søk
Søk
Søk
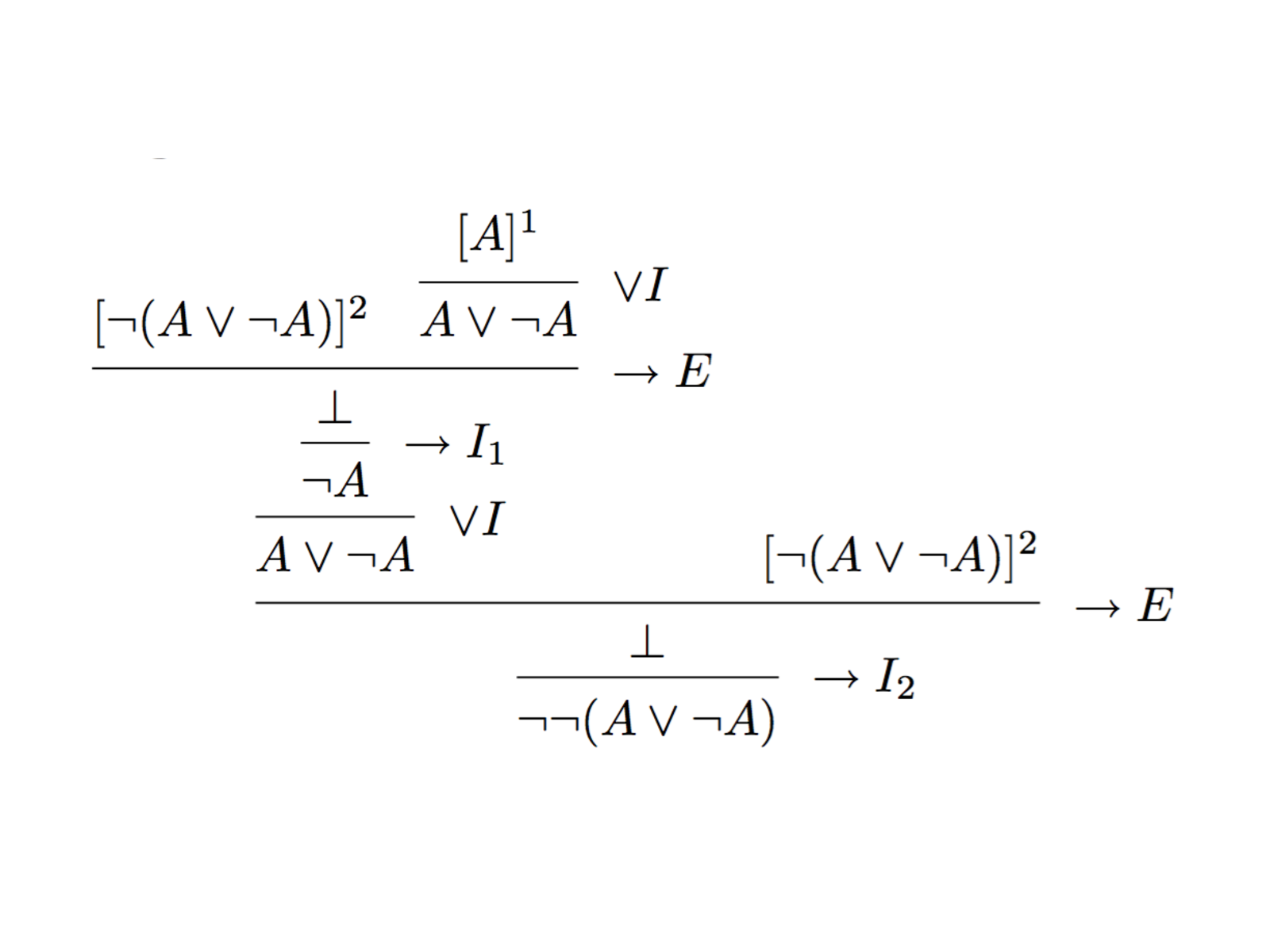
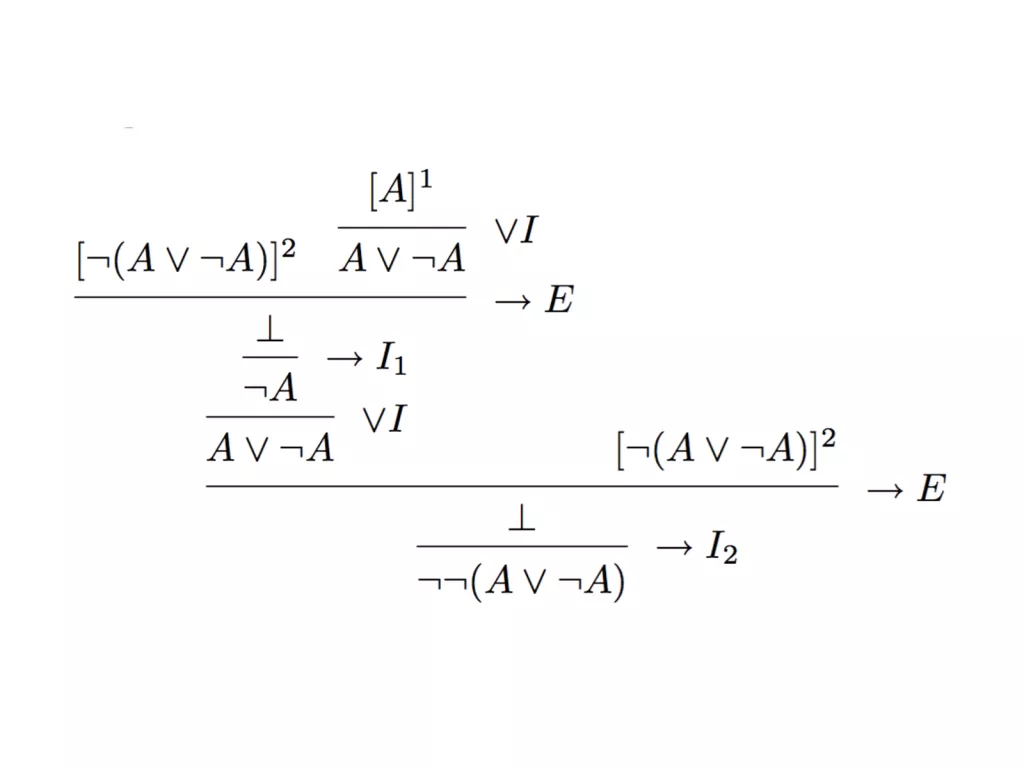
Innføring i intuisjonistisk logikk
Torsdag 8. februar 2001
Torsdag 15. februar 2001
Torsdag 22. februar 2001
Foredrag
8. februar 2001
Hovedfagsseminar i logikk ved Språk, logikk og informasjon, Universitetet i Oslo