The Strangeness of Infinity: From Cantor to Conway

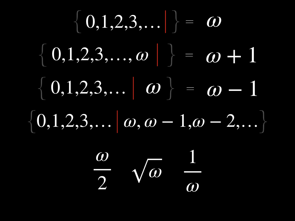
Få temaer innenfor matematikk er like rare, kontraintuitive, merkelige og paradoksale som de som handler om det uendelige. Vi dykker inn i Georg Cantors univers av kardinal- og ordinaltall, så vel som John Horton Conways surreelle tall.

Beskrivelse av foredrag

Mer informasjon: Odd Salon San Francisco: Proof

Foredrag
4. juni 2019
Odd Salon, Public Works SF, San Francisco